October 12, 2025
Text Size: T T T
Color Scheme:                         
Language: English | 中文 | All
View All : Main > Topics > DC Circuits > Energy Storage Elements > Capacitors and Op Amps > Problem #2
Problem ID: 249
Problem Filename: energyStorage_capacOpAmp_ex2
Keywords:
Circut Description:
  • capacitor
  • resistor
  • op amp
  • waveform
Math Method:
  • algebra

Energy Storage Elements

Capacitors and Op Amps

Problem #2

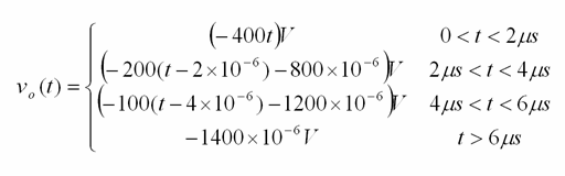
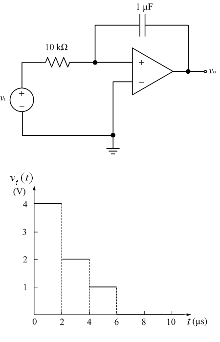
Given the input voltage shown in the figure below, determine vo(t). Assume the capacitor is fully discharged.

diagram