December 14, 2025
Text Size: T T T
Color Scheme:                         
Language: English | 中文 | All
View All : Main > Topics > Transient Circuits > Second Order (RLC) > Initial Value and Final Value > Problem #3
Keywords:

Second Order (RLC)

Initial Value and Final Value

Problem #3

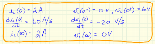
For both the inductor current and voltage, determine their initial values, the initial values of their derivatives, and their final values. The capacitor has 9 J of stored energy before the switch closes.

diagram