Keywords:
Laplace Transform
Inverse Laplace Transform
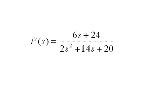
Problem #3
Determine the time-domain expression for the given s-domain expression.
Need a hint?
Factor the denominator.
|
December 13, 2025
|
Text Size: | ||||
| Color Scheme: | |||||
| Language: |
|
View All : Main >
Topics >
S-Domain Circuits >
Laplace Transform >
Inverse Laplace Transform >
Problem #3
Keywords:
Laplace TransformInverse Laplace TransformProblem #3Determine the time-domain expression for the given s-domain expression.
Need a hint?
Factor the denominator. solutionAdditional files availableVideo Transcript |