December 13, 2025
Text Size: T T T
Color Scheme:                         
Language: English | 中文 | All
View All : Main > Topics > S-Domain Circuits > Laplace Transform > Inverse Laplace Transform > Problem #2
Keywords:

Laplace Transform

Inverse Laplace Transform

Problem #2

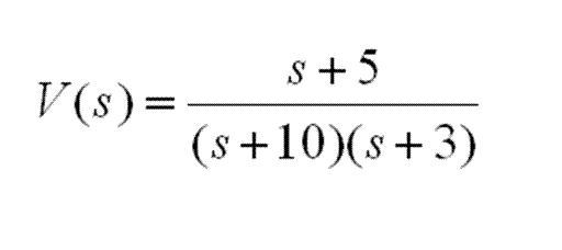
Analysis of a circuit in the s-domain yields the expression for voltage shown in the diagram. Determine the corresponding time-domain expression for this voltage.

diagram
Need a hint?

solution

Check your result

Additional files available

Video Transcript