Keywords:
Laplace Transform
Inverse Laplace Transform
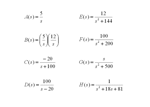
Problem #2
Determine the time-domain expression for each of the given s-domain expressions.
Need a hint?
Refer to a Laplace transform table.
|
December 13, 2025
|
Text Size: | ||||
| Color Scheme: | |||||
| Language: |
|
View All : Main >
Topics >
S-Domain Circuits >
Laplace Transform >
Inverse Laplace Transform >
Problem #2
Keywords:
Laplace TransformInverse Laplace TransformProblem #2Determine the time-domain expression for each of the given s-domain expressions.
Need a hint?
Refer to a Laplace transform table. solutionAdditional files availableVideo Transcript |