December 13, 2025
Text Size: T T T
Color Scheme:                         
Language: English | 中文 | All
View All : Main > Topics > S-Domain Circuits > Laplace Transform > Inverse Laplace Transform
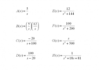
diagram_thumbnail Problem 1

Determine the time-domain expression for each of the given s-domain expressions.

S-Domain Circuits > Laplace Transform > Inverse Laplace Transform
Keywords:
Length: 7:06    Date Added: 2007-07-27 13:37:45    Filename: s_laplace_ilt_ex1_eng    ID: 395
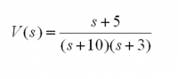
diagram_thumbnail Problem 2

Analysis of a circuit in the s-domain yields the expression for voltage shown in the diagram. Determine the corresponding time-domain expression for this voltage.

S-Domain Circuits > Laplace Transform > Inverse Laplace Transform
Keywords:
Length: 4:25    Date Added: 2007-07-27 13:41:57    Filename: s_laplace_ilt_ex2_eng    ID: 396
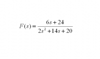
diagram_thumbnail Problem 3

Determine the time-domain expression for the given s-domain expression.

S-Domain Circuits > Laplace Transform > Inverse Laplace Transform
Keywords:
Length: 6:52    Date Added: 2007-07-27 13:43:53    Filename: s_laplace_ilt_ex3_eng    ID: 397