October 12, 2025
Text Size: T T T
Color Scheme:                         
Language: English | 中文 | All
View All : Main > Topics > S-Domain Circuits > Two-Port Networks > Design > Problem #1
Keywords:

Two-Port Networks

Design

Problem #1

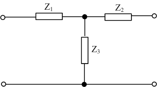
Construct a two-port circuit that realizes the z parameters given.

diagram
Need a hint?

solution

Check your result

Additional files available

Video Transcript